阿爾發磁譜儀實驗(以下簡稱AMS)的新結果于9月18日發表在Physical Review Letters上,此項結果是基于AMS在國際空間站(ISS)上量測并分析的前四百一十億件事例而取得,它使我們對高能宇宙射線的本質有更深入的了解,并使暗物質存在的爭議趨于明朗。
AMS計劃是由物理諾貝爾獎獲獎者丁肇中教授領導,由全球16個國家和地區的56個研究機構合作承擔的國際性大型科研項目, 超過1500名科研人員參與該項目的研究工作。它也是人類第一次在太空中使用粒子物理精密探測儀器和技術的實驗。其目的是通過探測宇宙中的反物質和暗物質,探索宇宙的起源與未知。
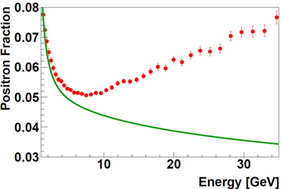
AMS已分析了四百一十億件初級宇宙射線之事例,其中一千零九十萬件經辨認為電子與正電子。AMS測量了能量在5億至5千億電子伏特之間的“正電子分率”(即正電子數占電子與正電子總數之比例)。我們發現此分率在80億電子伏特時開始快速增加(如圖一),顯示有新的正電子源存在。圖二表示正電子分率隨能量增加而增加之速率已被精確測出,并無明顯之尖峰存在。正電子分率停止增加的能量(即分率達最大值時的轉折點之能量)經測得為275±32 GeV(1GeV為十億電子伏特),如圖二之上圖所示。此乃半世紀來的宇宙射線實驗首次看到正電子分率的最大值。多出的正電子分率在百分之三的誤差范圍內是各向同性的,強烈顯示高能量的正電子可能不是來自某些特定的方向。

圖一 AMS測量的正電子分率(紅圈)與由平常宇宙射線碰撞的預測(綠線)比較顯示在80億電子伏特(8GeV)以上正電子分率開始快速增加。此增加指出新正電子源的存在。

圖二 上圖顯示AMS測量的正電子分率的斜率(紅圈)以及在最高能區的直線擬合(藍線)。數據顯示在275±32 GeV斜率交于零。下圖顯示測量的正電子分率隨能量變化的函數以及最大值的位置。
正電子分率的精確測量對了解暗物質的源很重要。平常宇宙射線的碰撞產生的正電子其分率隨能量增加而穩定下降;暗物質的碰撞產生多出的正電子,這個預測最容易通過正電子分率的測量來研究。不同的暗物質模型會預測不同的正電子分率多出的表現。暗物質的本質,會惟一地反映在正電子分率多出的特征上。

暗物質的本質,會惟一地反映在正電子分率多出的特征上,特征如圖標示
AMS的新結果顯示第一至第四項特征已被確定,是被觀測到的新現象。它們與質量在一兆電子伏特量級的暗物質候選粒子(渺中子)之存在相符。為辨別此觀測到的新現象是源于暗物質或如脈沖星之類的天體,AMS正在測量正電子分率在轉折點之上的下降速率(第五項特征),以及量測反質子分率(反質子數占質子與反質子總數的比例)。這些結果將在未來發表。
AMS也發表電子通量與正電子通量(即宇宙射線電子與正電子的強度)的精密量測。結果顯示電子與正電子不論在通量的強度或隨能量的變化上均顯著不同。圖三上圖展示電子通量及正電子通量(乘上能量的三次方以便于察看)隨能量的變化。乘方的正電子通量起先增加(在0.5至10GeV),接著變平緩(10至30GeV),隨后又增加(30至200GeV)。在200GeV以上則有降低之趨勢。此與乘方的電子通量,表現完全不同。
通量隨能量的變化由“譜指數”來定,通常是正比于能量的譜指數次方。AMS的結果顯示電子通量與正電子通量均無法由單一不變的譜指數描述,見圖三下圖。特別是在20到200GeV之間,正電子通量隨能量變化的速率竟高于電子通量。這是“正電子分率多出乃源于高能正電子的相對多出(例如由暗物質碰撞所致)而非高能電子損失”的重要證明。這些結果也在Physical Review Letters的另一篇論文發表。


圖三 上圖突顯電子通量(藍點、左標)與正電子通量(紅點、右標)之差別。下圖顯示電子通量與正電子通量的譜指數隨能量變化的函數。
誠如Michael S. Turner博士所指出,對電子通量與正電子通量的新觀測結果,也說明了物質(電子)與反物質(正電子)存在著根本的差異。
1932年Carl Anderson在宇宙射線中發現了正電子。太空中及地表的非磁探測器只能測量電子與正電子的總通量。過去五十年中有許多的實驗測量宇宙射線電子與正電子的總通量。它們得到有趣的結果,其中幾個實驗顯示在300至800GeV間可能有一結構存在。
AMS是一粒子物理探測器,能對電子、正電子以及電子與正電子總和進行許多獨立的測量。在搜集四百一十億宇宙射線的事例后,AMS測量了電子與正電子的總通量如圖四上圖所示。總通量是平滑的并揭示了明顯的新信息。最有趣的是在高能量且在很寬的能量范圍內,總通量可以由單一不變的譜指數描述(見圖四下圖)。


圖四 上圖為AMS測量的電子與正電子總通量乘以能量的三次方并顯示先前的實驗 [1-7]。下圖為電子與正電子總通量乘以能量的三次方及單一指數次方的擬合結果。
AMS最新結果的發表,與中山大學的貢獻密不可分。在研制探測器階段,中大主要負責AMS硅微條軌跡探測器熱控系統(TTCS)的建造,保證探測器運行時溫度穩定。此后,中大一直承擔發射以來三年多在軌運行的監控和維護。硅微條軌跡探測器是AMS中最復雜、最精確、也是最重要的探測器(實際上在AMS的所有子探測器中,它才稱得上磁譜儀),只有它能分辨電子與正電子。TTCS為硅微條軌跡探測器的精確測量提供穩定的熱環境,因此,沒有TTCS,就沒有這樣高的測量精度。團隊技術負責人何振輝教授在談到團隊成員的工作時表示:“他們很努力,做得也很出色,已經運行三年半了,很期待能夠一直為 AMS探測器提供服務。”
中山大學有4位博士研究生在瑞士日內瓦的歐洲粒子物理研究中心(CERN)學習和參加AMS數據分析,高效辨別物理事件;此外還有一位教工和碩士研究生在位于CERN的AMS POCC(AMS載荷運作控制中心)參加在軌監控和維護,保障探測器平穩順利地運行。這個過程雖然艱苦,但在何振輝教授看來卻也是快樂的,他說:“通過研究,可以用在一個專業嚴謹眼光,去看很多人看不到的東西,感受到科學延伸以外的美麗世界,這是永久難忘的。”